Fuel your mission with dependable meal support from Fort A.P. Hill Family and MWR. Our MWR Troop Feeding provides cafeteria-style meals that include an entrée, sides, bread, beverage, and dessert. Units may also request box lunches, warming beverages, and field feeding support, with utensils and disposables provided. Mermites and beverage containers must be supplied by the unit and returned after each meal. MWR can also prepare TISA-issued rations to meet mission requirements.

About Contracted Unit Feedings

-Meal Service

All meals are served cafeteria style and include a meat entrée, vegetable, starch, bread, beverage and dessert.

-Additional Options

Box lunches and warming beverages are also available, as well as all preparation for field feedings, which include all utensils and disposable products.

-Field Feeding Pick-Up

Field feedings must be picked up from Building 1659 and all containers returned after each meal.

-Unit Responsibilities

The unit must provide all mermites and beverage containers.

 

Payment Methods

Pricing is based on meal type, headcount, and support requirements (cafeteria meals vs. box lunches vs. field feeding).

To receive an official quote, contact our team with your dates, times, and estimated numbers. Contact Us Today

 

Methods of payment include:

  • Visa
  • MasterCard
  • Unit checks
  • Purchase Agreements using Standard Form 1449, Solicitation/Contract/Order for Commercial Items

Please note that MIPR’s or G-Invoicing cannot be accepted.

Information to Provide

Request Information or a Quote

For more information or to obtain a quote, please contact Food and Beverage:

Telephone Number:

 (804) 633-8398

 (804) 677-3111

Email

usarmy.fort-walker.id-sustainment.mbx.ap–hill-mwr-catering@ARMY.MIL 

 

When requesting unit feeding support, please include:

  • Unit/Organization Name
  • Point of Contact (Name, Phone, Email)
  • Requested dates and meal times
  • Estimated headcount per meal
  • Meal type requested (cafeteria, box lunch, field feeding)
  • Any dietary considerations (if applicable)
  • Payment method / purchase approach (if known)

 

Scheduling Requirements

All changes to headcount or feeding times must be made 14 days prior to the function.

  • slide
  • slide
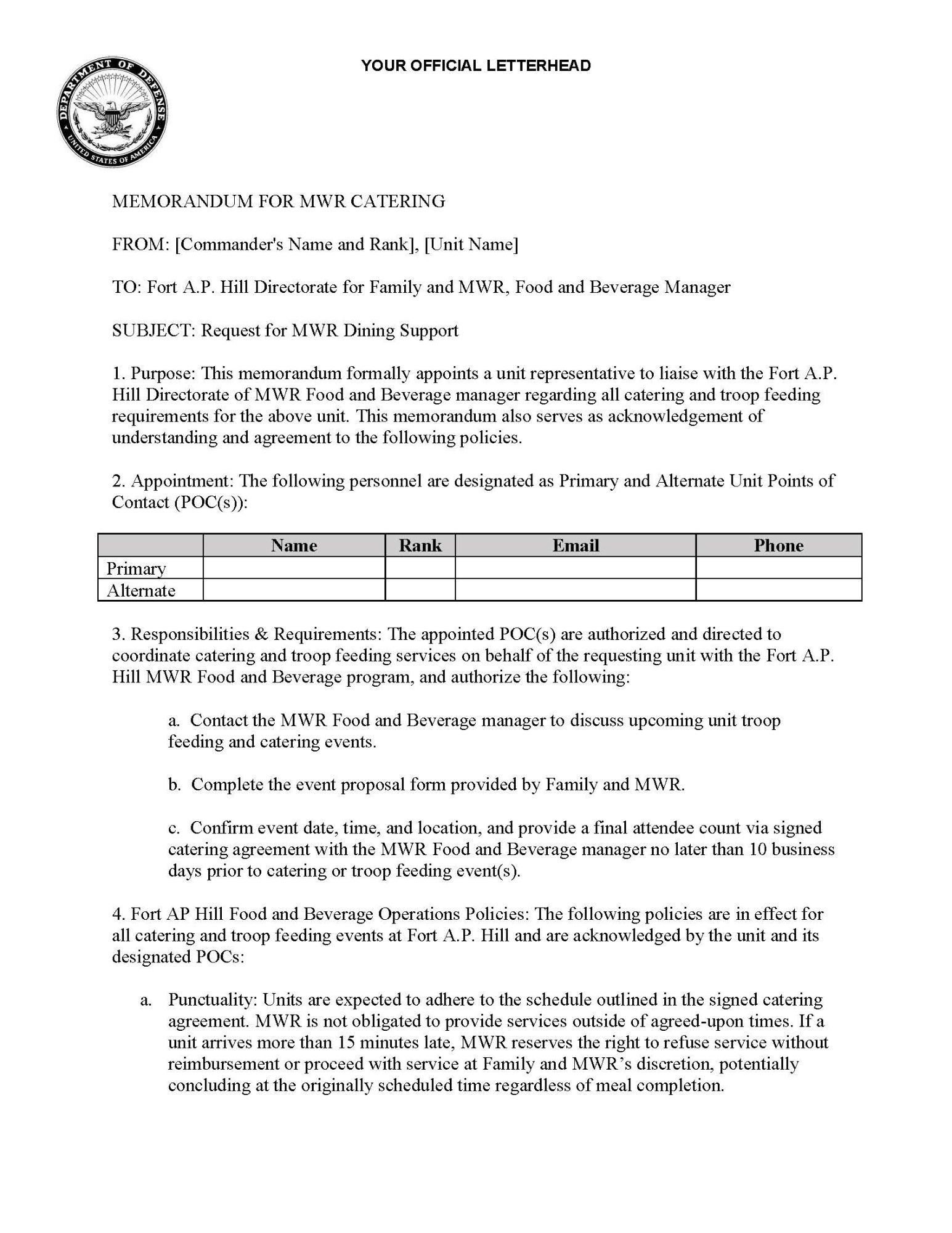
Sample Letter of Intent (LOI)
  • slide
  • slide
  • slide
Contact Information

Food & Beverage Team / Contract Unit Feeding

📞 (804) 633-8398

📞 (804) 677-3111

📍 11776 Warrior Dr., Bldg. 1659

         Fort A.P. Hill, VA, 22427

 

For more information or to obtain a quote, please Contact Us